VIDEO
Message
Medical Allowance FAQ
From Schools Division Office of Quezon City
Department of Education, National Capital Region
FAQ from Division Memorandum 1134, s.2025 issued Sept 29, 2025 by Schools Division Office of Quezon City, Department of Education, National Capital Reqion.
Q1. What is DepEd Order No 16, s. 2025?
Q2. Who are eligible to receive the medical allowance?
Q3. How much is the medical allowance?
Q4. What are the modes of availment of the medical allowance?
Q5. Is the National Capital Region (NCR), such as SDO Quezon City, considered a GIDA?
Q6. If I choose individual HMO availment, do I need to submit receipts before receiving the allowance?
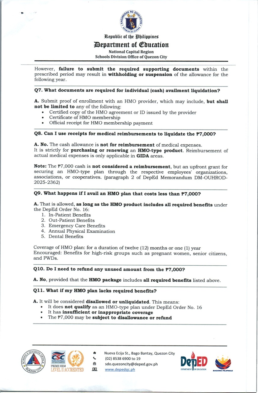
Q7. What documents are required for individual (cash) availment liquidation?
Q8. Can I use receipts for medical reimbursement to liquidate the P7,000?
Q9. What happens if I avail an HMO plan that costs less than P7,000?
Q10. Do I need to refund any unused amount from the P7,000?
Q11. What if my HMO plan lacks required benefits?
Q12. What happens if I fail to submit the required documents on time?
Q13. When will the P7,000 be credited for those under individual availment?
Q14. When will HMO cards be released for those under group (SDO-procured) availment?
Q15. Why was the medical allowance not released on August 31, 2025?
Q16. Why have some personnel already received their medical allowance under the individual availment option?
Q17. Is it true that the medical allowance or HMO card will expire on December 31, 2025?
Q18. What if I will be retiring / resigning from the service this coming October, November, December? Should I still use the HMO if I availed of the group plan?
Q19. What if I opted for individual availment and I will be retiring / resigning in October, November, December? Am I required to present the liquidation for the P7,000 cash given to me?
Original: FAQ
Division Memorandum No. 1134, s. 2025
Original: FAQ Q1 - Q6
Original: FAQ Q7 - Q11
Original: FAQ Q12 - Q17
Original: FAQ Q18 - Q19
Source: Division Memorandum 1134, s.2025 issued Sept 29, 2025 by Schools Division Office of Quezon City, Department of Education, National Capital Reqion
Para makakuha ng comprehensive healthcare maski nag-individual availment, maari kayong mag-form ng informal groups at kumuha ng group HMO na Kaiser National Healthcare Shield